Hitung f(2a‑3) dari g(x)=x+2 dan f∘g(x)=3x‑4 Langkah Demi Langkah

Hitung f(2a‑3) dari g(x)=x+2 dan f∘g(x)=3x‑4 mungkin terdengar seperti teka-teki aljabar yang njlimet, tapi sebenarnya ini adalah puzzle matematika yang asyik untuk dipecahkan. Soal seperti ini sering bikin deg-degan, ya? Tapi tenang, di balik notasi fungsi dan komposisi yang kelihatan rumit, ada alur logika yang rapi dan bisa kita ikuti dengan santai.

Topik ini membawa kita pada inti dari komposisi fungsi: bagaimana dua fungsi sederhana seperti g(x) dan f(x) bekerja berurutan untuk menghasilkan hubungan baru. Dengan memahami cara membongkar pasangan ini, kita bukan cuma bisa menjawab satu soal, tapi menguasai pola untuk menyelesaikan berbagai variasi pertanyaan serupa. Mari kita telusuri proses menemukan f(x) yang tersembunyi dan menggunakannya.

Pemahaman Dasar Fungsi dan Komposisi: Hitung F(2a‑3) Dari G(x)=x+2 Dan F∘g(x)=3x‑4

Sebelum menyelam ke dalam perhitungan yang diminta, mari kita sepakati dulu bahasanya. Dalam matematika, fungsi bisa kita anggap sebagai mesin yang menerima input, memprosesnya dengan aturan tertentu, lalu menghasilkan output. Notasi g(x) = x + 2 artinya, mesin bernama ‘g’ akan mengambil input x, menambahkannya dengan 2, lalu mengeluarkan hasilnya. Sederhana, bukan?

Nah, kalau kita mau hitung f(2a‑3) dari g(x)=x+2 dan f∘g(x)=3x‑4, pertama kita cari dulu fungsi f(x). Setelah diurai, ketemu f(x)=3x‑10. Proses mencari fungsi yang tersembunyi ini mirip dengan menelusuri motif di balik suatu aksi sejarah, seperti ketika kita mengkaji Tujuan Belanda ke Indonesia yang kompleks dan berdimensi ekonomi. Dengan f(x) yang sudah diketahui, perhitungan akhir pun menjadi jelas: f(2a‑3) = 3(2a‑3)‑10 = 6a‑19.

Komposisi fungsi, dilambangkan dengan f∘g(x), adalah tentang merantai dua mesin tersebut. Kita masukkan x ke mesin g terlebih dahulu. Output dari mesin g ini kemudian langsung kita masukkan sebagai input ke mesin f. Jadi, f∘g(x) secara harfiah berarti f(g(x)). Proses ini seperti mengolah bahan mentah (x) di pabrik g menjadi barang setengah jadi (g(x)), lalu barang setengah jadi itu diolah lagi di pabrik f menjadi produk akhir f(g(x)).

BACA JUGA  Manusia Harus Saling Berkomunikasi Kunci Hubungan Efektif

Contoh Konkret Komposisi Fungsi

Misalkan kita punya dua fungsi sederhana: g(x) = x + 1 dan f(x) = x
– 2. Untuk mencari f∘g(3), kita jalankan langkah berantai. Pertama, hitung g(3) = 3 + 1 = 4. Nilai 4 ini kemudian menjadi input untuk f, sehingga f(4) = 4
– 2 = 8. Jadi, f∘g(3) = 8.

Proses ini menunjukkan bagaimana output dari fungsi pertama secara langsung membentuk input untuk fungsi kedua.

Aspect Fungsi Biasa (g(x)) Fungsi Komposisi (f∘g(x))
Proses Transformasi tunggal dari input ke output. Transformasi beruntun dari dua atau lebih fungsi.
Input Awal Variabel bebas x. Variabel bebas x.
Alur Kerja x → g → g(x). x → g → g(x) → f → f(g(x)).
Interpretasi Satu langkah operasi. Dua langkah operasi yang terhubung.

Langkah Umum Mencari f(x) dari g(x) dan f∘g(x)

Seringkali dalam soal, kita diberi tahu fungsi g(x) dan hasil komposisinya f∘g(x), lalu diminta untuk menemukan bentuk asli dari f(x). Strategi utamanya adalah dengan melakukan substitusi. Kita menganggap output dari g(x) sebagai variabel baru, misalnya u = g(x). Kemudian, kita menyatakan x dalam bentuk u dari persamaan g(x). Langkah terakhir adalah mensubstitusi ekspresi x ini ke dalam f∘g(x) untuk mendapatkan f(u), yang kemudian bisa kita tulis kembali sebagai f(x).

Menentukan Bentuk Fungsi f(x)

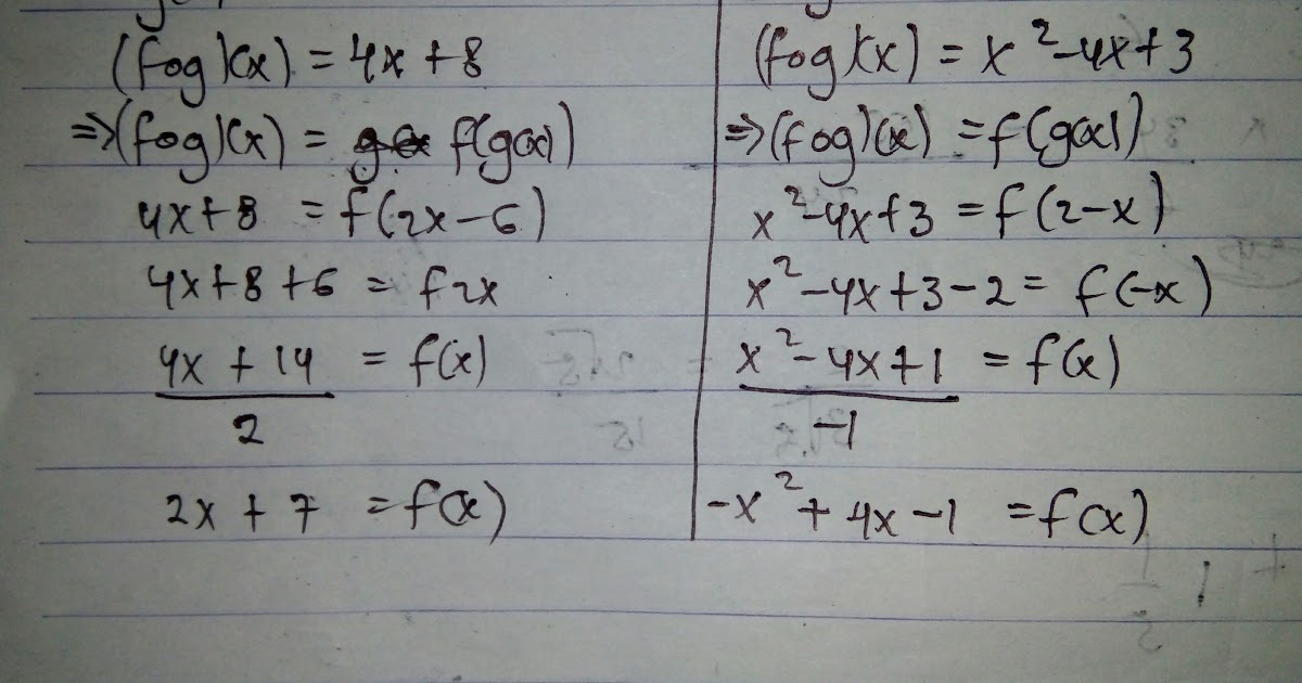
Kita kini memiliki informasi spesifik: g(x) = x + 2 dan f∘g(x) = 3x – 4. Tujuan kita adalah membongkar mesin f yang tersembunyi di balik komposisi tersebut. Dengan kata lain, kita ingin tahu aturan apa yang diterapkan mesin f terhadap inputnya agar rantai dengan g menghasilkan 3x – 4.

Pendekatan sistematis sangat penting di sini. Kita akan mengikuti logika bahwa f∘g(x) berarti f(g(x)). Karena g(x) sudah diketahui, kita bisa memanipulasi aljabar untuk mengungkap wujud f.

Prosedur Sistematis Penemuan f(x)

Mari kita jabarkan langkah-langkah kunci dalam proses penyelesaian ini. Setiap langkah bersifat logis dan bertahap.

Langkah 1: Tuliskan definisi komposisi.
f∘g(x) = f(g(x)) = 3x – 4.

Langkah 2: Substitusi g(x) dengan bentuk eksplisitnya.
Karena g(x) = x + 2, maka f(x + 2) = 3x – 4.

Langkah 3: Lakukan substitusi variabel.
Misalkan u = x + 2. Maka, x = u – 2.

Langkah 4: Substitusi nilai x ke dalam persamaan.
f(u) = 3(u – 2) – 4.

Langkah 5: Sederhanakan untuk menemukan f(u).
f(u) = 3u – 6 – 4 = 3u – 10.

Langkah 6: Tuliskan fungsi f dalam variabel x.
f(x) = 3x – 10.

Ilustrasi Alur Input dan Output

Hitung f(2a‑3) dari g(x)=x+2 dan f∘g(x)=3x‑4

Source: googleusercontent.com

Bayangkan sebuah diagram alur. Kotak pertama adalah mesin g yang menerima input x. Mesin ini menghasilkan output x+
2. Output ini tidak dikeluarkan ke pengguna, tetapi langsung disalurkan melalui pipa ke mesin kedua, yaitu f. Mesin f menerima “sesuatu” sebagai inputnya.

BACA JUGA  Perbandingan Berat Andi 24 kg dan Dito 30 kg Analisis Lengkap

Kunci pemahamannya adalah: input untuk mesin f adalah “sesuatu” yang bernilai x+
2. Oleh karena itu, di dalam mesin f, aturannya harus bekerja terhadap (x+2). Setelah melalui proses aljabar, kita tahu mesin f pada dasarnya melakukan operasi: “kalikan input dengan 3, lalu kurangi 10”. Jika inputnya adalah (x+2), maka hasilnya adalah 3(x+2)
-10 = 3x – 4, yang persis seperti yang diberikan di soal.

Evaluasi Fungsi pada Bentuk Aljabar

Setelah berhasil menemukan f(x) = 3x – 10, tugas berikutnya adalah mengevaluasi fungsi ini untuk input yang tidak biasa, yaitu 2a – 3. Proses ini sebenarnya langsung, namun membutuhkan kehati-hatian agar tidak terjadi kesalahan dalam manipulasi tanda atau koefisien.

Evaluasi fungsi pada ekspresi aljabar merupakan perluasan natural dari evaluasi pada angka. Prinsipnya tetap sama: ganti setiap kemunculan variabel x dalam rumus fungsi dengan ekspresi yang diberikan di dalam kurung.

Tabel Evaluasi untuk Berbagai Jenis Input, Hitung f(2a‑3) dari g(x)=x+2 dan f∘g(x)=3x‑4

Berikut adalah contoh bagaimana fungsi f(x) = 3x – 10 merespons berbagai jenis input.

Jenis Input Input (x) Proses Evaluasi f(x) = 3x – 10 Output
Numerik 5 3(5) – 10 = 15 – 10 5
Variabel Tunggal y 3(y)

10 = 3y – 10

3y – 10
Ekspresi Aljabar Sederhana p + 1 3(p + 1)

10 = 3p + 3 – 10

3p – 7
Ekspresi Aljabar Kompleks 2a – 3 3(2a – 3)

10 = 6a – 9 – 10

6a – 19

Kesalahan Umum dan Pencegahannya

Beberapa jebakan sering muncul. Pertama, lupa mendistribusikan koefisien ke semua suku dalam kurung. Misalnya, menulis 3(2a – 3) sebagai 6a – 3. Kedua, kesalahan tanda, terutama ketika berurusan dengan pengurangan. Ketiga, terburu-buru dan tidak menyederhanakan hasil akhir sepenuhnya.

Cara terbaik untuk menghindarinya adalah dengan menulis setiap langkah secara eksplisit dan memeriksa kembali distribusi dan pengelompokan suku sejenis.

Perhitungan f(2a – 3)

Berdasarkan fungsi f(x) = 3x – 10 yang telah kita peroleh, evaluasi untuk x = 2a – 3 dilakukan sebagai berikut:

f(2a – 3) = 3

  • (2a – 3)
  • 10

f(2a – 3) = (6a – 9) – 10
f(2a – 3) = 6a – 19

Jadi, nilai dari f(2a – 3) adalah ekspresi aljabar 6a – 19.

Aplikasi dan Variasi Soal Serupa

Pola soal seperti ini sangat umum dalam aljabar. Memahami struktur penyelesaiannya akan memudahkan kita menghadapi variasi yang berbeda. Intinya selalu sama: gunakan hubungan f∘g(x) = f(g(x)), lakukan substitusi untuk menyatakan x dalam bentuk g(x), dan sederhanakan untuk mengisolasi f.

Berikut tiga variasi soal yang menguji pemahaman konsep yang sama, tetapi dengan fungsi g dan komposisi yang berbeda-beda. Menganalisis perbedaannya membantu menguatkan intuisi.

Variasi Soal dan Pola Penyelesaian

Variasi Diketahui Langkah Kunci f(x) yang Diperoleh
1 g(x) = x – 5, f∘g(x) = 2x + 1 Substitusi: f(x-5)=2x+1. Misal u=x-5, maka x=u+5. f(u)=2(u+5)+1. f(x) = 2x + 11
2 g(x) = 3x, f∘g(x) = x² + 4 Substitusi: f(3x)=x²+4. Misal u=3x, maka x=u/3. f(u)=(u/3)²+4. f(x) = (x²/9) + 4
3 g(x) = 2x + 1, f∘g(x) = 4x²

1

Substitusi

f(2x+1)=4x²-1. Misal u=2x+1, maka x=(u-1)/2. f(u)=4*((u-1)/2)²

  • 1.
f(x) = (x-1)²
  • 1 atau x²
  • 2x
  • Interpretasi Hasil Akhir

    Hasil seperti f(2a – 3) = 6a – 19 bukanlah sebuah angka tunggal, melainkan sebuah fungsi baru yang bergantung pada variabel a. Ini berarti nilai output dari fungsi f akan bervariasi secara linear seiring perubahan nilai a. Dalam konteks yang lebih luas, kemampuan untuk mengevaluasi fungsi pada ekspresi aljabar seperti ini adalah fondasi untuk topik yang lebih kompleks seperti fungsi invers, transformasi geometri fungsi, dan pemodelan hubungan matematika di mana inputnya sendiri adalah hasil dari proses lain.

    Ringkasan Terakhir

    Jadi, begitulah ceritanya. Dari sebuah komposisi kabur f∘g(x), kita berhasil mengungkap bentuk asli f(x) dan bahkan mengevaluasinya untuk input serumit 2a‑3. Proses ini mengajarkan bahwa matematika seringkali soal membongkar lapisan, bukan menghafal rumus. Setelah pola dasarnya ketahuan, variasi soal lain pun akan terasa seperti modifikasi dari skenario yang sudah kita pahami.

    Pada akhirnya, nilai f(2a‑3)=6a‑13 yang kita dapatkan bukan sekadar akhir perhitungan. Ia adalah representasi aljabar yang menunjukkan bagaimana setiap perubahan pada variabel ‘a’ akan mempengaruhi keluaran fungsi f secara linear dan terprediksi. Kemampuan membedah dan menyusun kembali fungsi ini adalah fondasi untuk memahami konsep matematika yang lebih kompleks di level selanjutnya.

    Nah, kalau ditanya cara hitung f(2a‑3) dari g(x)=x+2 dan f∘g(x)=3x‑4, kita perlu cari dulu bentuk fungsi f(x)-nya. Proses aljabarnya memang memerlukan ketelitian, mirip seperti saat kita Mohon dijawab dengan cara, terima kasih untuk langkah-langkah detailnya. Setelah f(x) = 3x – 10 ditemukan, substitusi x dengan (2a-3) akan menghasilkan jawaban akhir f(2a-3) = 6a – 19.

    Pertanyaan Umum (FAQ)

    Apa bedanya f(g(x)) dengan f(x)
    – g(x)?

    f(g(x)) adalah komposisi (fungsi dalam fungsi), di mana keluaran g(x) menjadi masukan untuk f. Sementara f(x)
    – g(x) adalah perkalian biasa antara dua nilai fungsi.

    Bagaimana jika soalnya mencari g(2a‑3), bukan f(2a‑3)?

    Langkahnya lebih langsung, karena g(x)=x+2 sudah diketahui. Maka g(2a‑3) = (2a‑3)+2 = 2a‑1. Tidak perlu mencari fungsi f terlebih dahulu.

    Apakah mungkin ada lebih dari satu jawaban untuk fungsi f(x)?

    Untuk soal dengan bentuk linear seperti ini, proses aljabar yang benar akan menghasilkan satu bentuk f(x) yang unik dan pasti.

    Bisakah soal ini diselesaikan jika g(x) bukan fungsi linear sederhana?

    Bisa, prinsipnya tetap sama: nyatakan x dalam bentuk g(x), lalu substitusi. Namun manipulasi aljabarnya mungkin lebih rumit jika g(x) memiliki pangkat atau bentuk pecahan.

    Leave a Comment