Cek Linearitas Transformasi T R³ ke R² T(a,b,c) = (a‑2b, a+c)

Cek Linearitas Transformasi T: R³ → R², T(a,b,c) = (a‑2b, a+c) itu kayak ngecek apakah sebuah mesin punya sifat yang bisa ditebak dan konsisten. Bayangin aja, kita punya sebuah dunia 3D yang penuh vektor, terus ada fungsi ajaib yang mau menyederhanakannya jadi dunia 2D. Nah, sebelum kita pakai mesin transformasi ini buat ngolah data atau ngerjain soal aljabar linear yang lebih seru, kita harus pastiin dulu nih, dia linear nggak sih?

Sifat linear ini penting banget karena bakal bikin hidup kita lebih mudah—pemetaannya jadi gampang diprediksi, bisa diwakilin sama matriks, dan prinsip superposisi berlaku.

Secara teknis, mengecek linearitas berarti memverifikasi dua pilar utama: apakah transformasi ini menghormati penjumlahan vektor dan perkalian skalar. Untuk transformasi T yang didefinisikan dengan rumus T(a,b,c) = (a‑2b, a+c), kita akan menguji apakah memindahkan operasi penjumlahan ke dalam fungsi hasilnya sama dengan menjalankan fungsi dulu baru dijumlahkan, dan apakah mengalikan vektor dengan skalar sebelum ditransformasi sama hasilnya dengan mentransformasi dulu lalu mengalikannya.

Proses verifikasi ini seperti membongkar rumus untuk melihat mesin matematika di dalamnya bekerja secara elegan dan teratur.

Menguak Prinsip Linearitas dalam Transformasi Koordinat Geometri

Bayangkan kita memiliki sebuah ruang tiga dimensi, seperti posisi suatu titik dalam sebuah kotak. Transformasi T ini bertugas memproyeksikan atau “memindahkan” informasi dari ruang yang lebih besar itu ke sebuah bidang datar dua dimensi. Konsep linearitas, dari sudut pandang geometri, adalah janji bahwa pemetaan ini akan bersikap baik dan terprediksi. Sifat terprediksi itu terwujud dalam dua hal: garis lurus di R³ akan tetap menjadi garis lurus (atau titik) di R², dan titik asal (origin) di R³ akan tetap menuju ke titik asal di R².

Transformasi T(a,b,c) = (a‑2b, a+c) secara visual dapat kita pahami sebagai proses mengambil koordinat (a,b,c) lalu menciptakan dua fitur baru: selisih antara komponen pertama dan dua kali komponen kedua, serta jumlah dari komponen pertama dan ketiga. Implikasinya, seluruh ruang tiga dimensi akan “ditekan” atau diproyeksikan ke sebuah bidang (atau mungkin seluruh bidang R²), di mana struktur garis dan kemiringannya tetap terjaga berkat sifat linear.

Perbandingan Sifat Sebelum dan Sesudah Transformasi, Cek Linearitas Transformasi T: R³ → R², T(a,b,c) = (a‑2b, a+c)

Untuk memahami janji linearitas secara konkret, kita bisa mengamati bagaimana dua operasi dasar aljabar vektor—penjumlahan dan perkalian skalar—berperilaku sebelum dan setelah transformasi T diterapkan. Prinsip dasarnya adalah, transformasi linear harus kompatibel dengan kedua operasi ini. Tabel berikut membandingkan sifat tersebut menggunakan contoh vektor spesifik u = (1, 0, 2) dan v = (3, -1, 1).

Operasi Pada Vektor Asal (di R³) Hasil Operasi Setelah Transformasi T
Penjumlahan (u + v) (1+3, 0+(-1), 2+1) = (4, -1, 3) T(4, -1, 3) = (4‑2(-1), 4+3) = (6, 7)
Penjumlahan T(u) + T(v) T(1,0,2) = (1, 3); T(3,-1,1) = (5, 4) (1+5, 3+4) = (6, 7) Sama dengan T(u+v)
Perkalian Skalar (k=2, pada u) 2*(1,0,2) = (2, 0, 4) T(2, 0, 4) = (2, 6)
Perkalian Skalar k*T(u) 2

T(1,0,2) = 2*(1,3)

(2, 6) Sama dengan T(2u)

Demonstrasi Numerik Sifat Penjumlahan

Mari kita telusuri langkah demi langkah pembuktian sifat T(u + v) = T(u) + T(v) untuk dua vektor umum u = (a₁, b₁, c₁) dan v = (a₂, b₂, c₂). Kunci dari verifikasi ini adalah mengikuti urutan operasi dengan ketat dan menyederhanakan aljabar.

Langkah 1: Hitung u + v di domain R³.u + v = (a₁ + a₂, b₁ + b₂, c₁ + c₂)Langkah 2: Terapkan T pada hasil penjumlahan.T(u + v) = T(a₁ + a₂, b₁ + b₂, c₁ + c₂)= ( (a₁ + a₂) ‑ 2(b₁ + b₂), (a₁ + a₂) + (c₁ + c₂) )Langkah 3: Terapkan T pada masing-masing vektor u dan v.T(u) = (a₁ ‑ 2b₁, a₁ + c₁)T(v) = (a₂ ‑ 2b₂, a₂ + c₂)Langkah 4: Jumlahkan hasil T(u) dan T(v).T(u) + T(v) = ( (a₁ ‑ 2b₁) + (a₂ ‑ 2b₂), (a₁ + c₁) + (a₂ + c₂) )= ( a₁ + a₂ ‑ 2b₁ ‑ 2b₂, a₁ + a₂ + c₁ + c₂ )Langkah 5: Bandingkan hasil Langkah 2 dan Langkah 4.T(u + v) = ( a₁ + a₂ ‑ 2(b₁ + b₂), a₁ + a₂ + (c₁ + c₂) )T(u) + T(v) = ( a₁ + a₂ ‑ 2b₁ ‑ 2b₂, a₁ + a₂ + c₁ + c₂ )Kedua ekspresi tersebut identik, membuktikan sifat penjumlahan terpenuhi.

Metode Verifikasi Sistematis Melalui Aksioma Dua Pilar

Verifikasi bahwa suatu transformasi bersifat linear tidak boleh dilakukan secara asal. Diperlukan pendekatan sistematis yang berangkat dari definisi, memastikan dua pilar utama—kekompatibelan dengan penjumlahan dan perkalian skalar—benar-benar kokoh. Prosedur ini dimulai dengan memeriksa sifat penjumlahan untuk dua vektor umum, lalu dilanjutkan dengan memeriksa sifat perkalian skalar, juga untuk vektor umum dan skalar umum. Metode umum ini memastikan kebenaran berlaku untuk semua kemungkinan vektor, bukan hanya contoh spesifik.

Tahap Pemeriksaan untuk T(a,b,c) = (a‑2b, a+c)

Berikut adalah bagan alur konseptual yang merinci setiap langkah pemeriksaan yang harus dilakukan untuk transformasi T kita. Setiap tahap bersifat kumulatif; jika gagal di satu titik, dapat disimpulkan transformasi tersebut tidak linear.

  • Formulasikan dua vektor input umum: u = (a₁, b₁, c₁) dan v = (a₂, b₂, c₂), serta sebuah skalar k.
  • Hitung T(u + v) secara eksplisit dengan mensubstitusi komponen (a₁+a₂, b₁+b₂, c₁+c₂) ke dalam rumus T.
  • Hitung T(u) dan T(v) secara terpisah, kemudian jumlahkan keduanya, T(u) + T(v).
  • Bandungkan ekspresi aljabar dari T(u + v) dan T(u) + T(v). Sederhanakan kedua sisi untuk melihat apakah identik.
  • Jika identik, lanjutkan ke pemeriksaan perkalian skalar. Hitung T(k*u) = T(k*a₁, k*b₁, k*c₁).
  • Hitung k
    – T(u) dengan mengalikan skalar k ke hasil T(u).
  • Bandungkan ekspresi aljabar dari T(k*u) dan k*T(u). Sederhanakan untuk memastikan keduanya identik.
  • Hanya jika kedua perbandingan menghasilkan kesamaan identik, transformasi T dinyatakan linear.

Kesalahan Umum dalam Proses Verifikasi

Beberapa kesalahan sering muncul, terutama ketika bekerja dengan rumus yang melibatkan banyak variabel. Kesalahan paling umum adalah tidak menjaga konsistensi notasi, salah dalam mendistribusikan tanda negatif atau koefisien, dan lupa bahwa pengecekan harus dilakukan untuk vektor umum, bukan contoh numerik saja. Contoh perhitungan yang salah berikut menunjukkan kesalahan distribusi.

Misal, untuk penjumlahan:Perhitungan Salah: T(u+v) = (a₁+a₂

2b₁ + b₂, a₁+a₂ + c₁+c₂) [Kesalahan

-2(b₁+b₂) didistribusikan menjadi -2b₁ + b₂, melupakan perkalian -2 dengan b₂].Perhitungan Benar: T(u+v) = (a₁+a₂

  • 2b₁
  • 2b₂, a₁+a₂ + c₁+c₂).

Ekspresi salah di atas tidak akan sama dengan T(u)+T(v) = (a₁-2b₁ + a₂-2b₂, a₁+c₁ + a₂+c₂), yang bisa menyebabkan kesimpulan keliru bahwa sifat linear tidak terpenuhi, padahal kesalahannya terletak pada manipulasi aljabar.

Interpretasi Matriks dan Dampaknya pada Sifat Kelurusan

Setiap transformasi linear dari R^n ke R^m dapat direpresentasikan sebagai perkalian dengan sebuah matriks berukuran m x n. Hubungan ini bukan hanya kebetulan, tetapi bukti otomatis dari sifat linear. Matriks tersebut bertindak sebagai “mesin” yang konsisten dan terstruktur untuk memetakan vektor. Untuk transformasi T(a,b,c) = (a‑2b, a+c), kita dapat menuliskan hasilnya sebagai kombinasi linear dari a, b, dan c: (1*a + (-2)*b + 0*c, 1*a + 0*b + 1*c).

Koefisien-koefisien inilah yang langsung membentuk matriks standar transformasi, di mana setiap baris matriks berisi koefisien untuk menghasilkan satu komponen output.

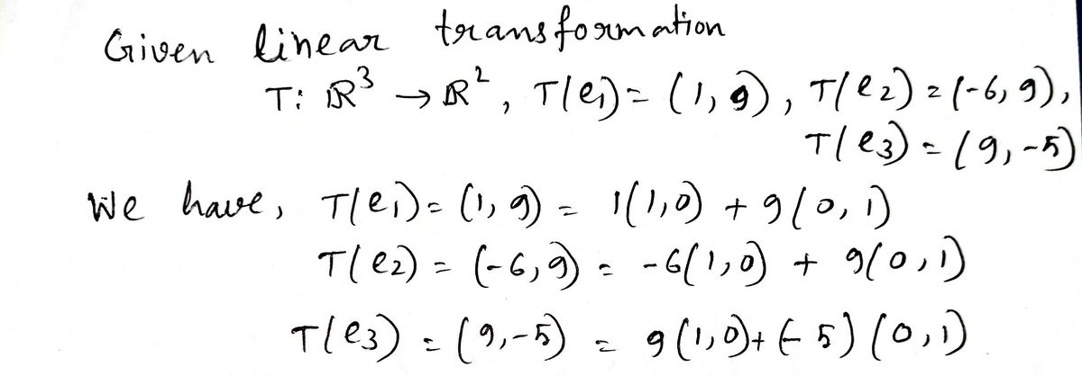
Basis Standar dan Pembentukan Matriks

Matriks standar diperoleh dengan melihat bagaimana transformasi memetakan vektor-vektor basis standar dari domain. Untuk R³, basis standarnya adalah e₁ = (1,0,0), e₂ = (0,1,0), dan e₃ = (0,0,1). Hasil peta masing-masing basis di bawah T akan menjadi kolom-kolom dari matriks standar tersebut.

Vektor Basis R³ Nilai (a,b,c) Hasil T(a,b,c) Kolom Matriks
e₁ = (1,0,0) a=1, b=0, c=0 (1, 1) Kolom 1: [1; 1]
e₂ = (0,1,0) a=0, b=1, c=0 (-2, 0) Kolom 2: [-2; 0]
e₃ = (0,0,1) a=0, b=0, c=1 (0, 1) Kolom 3: [0; 1]

Dari tabel di atas, matriks standar A untuk transformasi T adalah A = [[1, -2, 0], [1, 0, 1]], sehingga T(v) = A
– v untuk setiap vektor v di R³. Keberadaan matriks ini dengan sendirinya menjamin linearitas T.

Pemetaan Garis Lurus di Ruang Vektor

Salah satu konsekuensi geometris terpenting dari linearitas adalah pelestarian garis lurus. Misalkan kita memiliki sebuah garis L di R³ yang dinyatakan secara parametrik sebagai L: p + t*q, dimana p adalah titik awal dan q adalah vektor arah. Bagaimana T memetakan garis ini? Karena T linear, maka peta dari L adalah T(p + t*q) = T(p) + t*T(q). Ekspresi ini persis merupakan persamaan parametrik untuk sebuah garis di R² dengan titik awal T(p) dan vektor arah T(q).

Dengan kata lain, seluruh garis di R³ akan ditransformasikan menjadi sebuah garis di R², kecuali jika vektor arah q kebetulan berada dalam kernel T (sehingga T(q)=0), yang akan menyebabkan garis tersebut dipetakan menjadi sebuah titik tunggal T(p). Jadi, sifat kelurusan secara intrinsik tetap terjaga.

Eksplorasi Kernel dan Jangkauan Sebagai Cermin Perilaku Transformasi: Cek Linearitas Transformasi T: R³ → R², T(a,b,c) = (a‑2b, A+c)

Kernel (atau ruang nol) dan jangkauan (range) dari sebuah transformasi linear seperti T memberikan wawasan mendalam tentang struktur dan perilakunya. Kernel adalah himpunan semua vektor di R³ yang dipetakan ke vektor nol (0,0) di R². Ia menjawab pertanyaan: “Informasi apa yang hilang atau dikompresi saat transformasi?” Sementara itu, jangkauan adalah himpunan semua vektor di R² yang mungkin dihasilkan oleh T.

Ia menjawab: “Seperti apa bidang hasil transformasi ini?” Analisis kedua subruang ini mengungkap dimensi efektif dari pemetaan dan apakah transformasi tersebut bersifat injektif atau surjektif.

Contoh Vektor dalam Kernel dan Jangkauan

Cek Linearitas Transformasi T: R³ → R², T(a,b,c) = (a‑2b, a+c)

Source: amazonaws.com

Untuk T(a,b,c) = (a‑2b, a+c), kernel dicari dengan menyelesaikan sistem a‑2b = 0 dan a+c = 0. Ini memberikan hubungan a = 2b dan c = -a = -2b. Jadi, kernel berisi semua vektor berbentuk (2b, b, -2b) = b*(2, 1, -2). Ini adalah garis satu dimensi di R³. Jangkauan T adalah semua kombinasi linear dari kolom-kolom matriks standarnya, yaitu span(1,1), (-2,0), (0,1).

Tabel berikut menyajikan contoh dan hubungannya.

Konsep Contoh Vektor Keterangan Dimensi
Kernel (Ruang Nol) (2, 1, -2), (4, 2, -4), (0,0,0) Semua vektor yang memenuhi a=2b dan c=-2b. Dipetakan ke (0,0). 1
Jangkauan (Range) (1,1), (-2,0), (0,1), (3,2) Kombinasi dari kolom matriks. Misal, (3,2)=1*(1,1)+1*(-2,0)+1*(0,1). 2 (seluruh R²)

Keterjangkauan Setiap Vektor di R²

Pertanyaan apakah setiap vektor (x,y) di R² dapat dicapai sebagai hasil T adalah pertanyaan tentang sifat surjektif. Berdasarkan analisis jangkauan, kita dapat menyusun argumen berikut.

Memeriksa linearitas transformasi T: R³ → R², T(a,b,c) = (a‑2b, a+c), kita lihat bagaimana struktur aljabar ini mempertahankan operasi penjumlahan dan perkalian skalar. Prinsip keteraturan semacam ini juga muncul dalam analisis kesetimbangan kimia, misalnya saat Hitung tekanan parsial CO₂ pada kesetimbangan 990 °C dengan Kp 1,6 , di mana hubungan antar variabel mengikuti pola tertentu. Kembali ke transformasi linear, verifikasi sifat aditif dan homogen menjadi kunci untuk memastikan pemetaan yang konsisten, layaknya konstanta kesetimbangan yang menjadi penentu komposisi akhir.

  • Matriks standar A memiliki dua baris dan tiga kolom. Rank dari matriks A adalah 2, karena dua barisnya tidak saling berkelipatan dan kolom-kolomnya menghasilkan setidaknya dua vektor yang independen di R² (misalnya (1,1) dan (0,1)).
  • Dengan rank 2, jangkauan dari T memiliki dimensi 2. Satu-satunya subruang dari R² yang berdimensi 2 adalah R² itu sendiri.
  • Oleh karena itu, untuk sebarang vektor target (x,y) di R², selalu terdapat setidaknya satu vektor (a,b,c) di R³ sedemikian sehingga T(a,b,c) = (x,y). Transformasi T bersifat surjektif atau onto.
  • Secara praktis, kita selalu dapat menyelesaikan sistem persamaan a‑2b = x dan a+c = y untuk mencari setidaknya satu solusi (a,b,c).

Aplikasi Kontekstual dalam Permodelan Data Dimensi Berbeda

Transformasi linear seperti T bukan hanya abstraksi matematis, tetapi memiliki aplikasi praktis dalam reduksi dimensi dan ekstraksi fitur data. Bayangkan sebuah dataset sederhana yang merekam tiga metrik untuk setiap sampel: misalnya, untuk sebuah toko kecil, setiap transaksi dicatat dengan a = total penjualan (dalam ratus ribu), b = biaya promosi (dalam puluh ribu), dan c = jumlah item terjual (dalam puluh).

Data asli hidup di R³. Analis mungkin ingin membuat dua indikator kinerja baru yang lebih sederhana: Indikator Efisiensi ( a‑2b) yang mengukur penjualan bersih setelah dikurangi bobot biaya promosi, dan Indikator Produktivitas ( a+c) yang menggabungkan nilai uang dan volume barang. Transformasi T tepat memodelkan proses ini.

Parameter dan Interpretasi Fitur Baru

Dalam konteks ini, parameter (a,b,c) memiliki makna bisnis yang jelas. Hasil transformasi (a‑2b, a+c) bukan lagi sekadar angka, tetapi dua fitur baru yang telah diolah. Indikator Efisiensi (a‑2b) bernilai positif jika penjualan melebihi dua kali biaya promosi, dan negatif jika tidak. Indikator Produktivitas (a+c) memberikan gambaran gabungan antara nilai moneter dan kuantitas. Reduksi dari tiga metrik menjadi dua indikator ini mempermudah visualisasi (bisa diplot di bidang 2D) dan analisis komparatif antar transaksi.

Verifikasi dan Keuntungan Sifat Linear

Penting untuk memverifikasi bahwa pemodelan ini bersifat linear, karena sifat linear membawa beberapa keuntungan analitis yang krusial.

  • Konsistensi Agregasi: Rata-rata dari indikator baru untuk sekumpulan transaksi sama dengan indikator baru yang dihitung dari data transaksi yang sudah dirata-ratakan. Ini memungkinkan analisis pada level yang berbeda (misal, harian vs bulanan) tetap konsisten.
  • Prediksi yang Jelas: Jika kita mengalikan semua input (misalnya, memproyeksikan kenaikan 10% di semua metrik), maka output juga akan naik 10%. Hubungan proporsional ini membuat prediksi dan skenario perencanaan menjadi sangat jelas.
  • Kompatibilitas dengan Metode Linier: Indikator baru yang dihasilkan dapat langsung dimasukkan ke dalam teknik analisis statistik yang mengandalkan linearitas, seperti regresi linier atau analisis komponen utama (PCA) lebih lanjut, tanpa menimbulkan distorsi non-linear yang kompleks.
  • Kemudahan Komputasi dan Interpretasi: Perhitungan transformasi sangat efisien (hanya penjumlahan dan perkalian), dan hubungan antara input-output tetap transparan serta dapat ditelusuri, tidak seperti model black-box non-linear.

Simpulan Akhir

Jadi, setelah menguji dua aksioma, mengulik representasi matriks, dan menengok ke kernel serta jangkauannya, kita bisa nyimpulin dengan yakin bahwa Transformasi T: R³ → R² ini memang linear sepenuhnya. Keanggunannya terletak pada konsistensi yang absolut; dia tidak hanya memetakan titik, tapi juga menjaga struktur ruang vektor—garis tetap jadi garis, kombinasi linear tetap terjaga. Ini bukan cuma teori belaka, lho. Sifat linear yang sudah terverifikasi ini membuka pintu untuk aplikasi yang luas, dari kompresi data hingga pemodelan sistem, di mana prediktabilitas dan efisiensi adalah kunci.

Pada akhirnya, memahami dan membuktikan linearitas T(a,b,c) = (a‑2b, a+c) memberikan kita lebih dari sekadar jawaban iya atau tidak. Proses ini melatih kita untuk melihat pola, menghargai konsistensi dalam matematika, dan memberikan alat yang powerful untuk menerjemahkan masalah kompleks di ruang tinggi menjadi bentuk yang lebih sederhana dan bisa dikelola. Transformasi ini, dengan segala kesederhanaan rumusnya, adalah contoh sempurna bagaimana aturan yang jelas dan rapi dapat menghasilkan pemetaan yang sangat berguna.

Jawaban yang Berguna

Apakah hasil transformasi T selalu berupa vektor 2D dengan komponen bilangan bulat?

Tidak. Meskipun contoh sering pakai bilangan bulat, jika input (a,b,c) bilangan real, output (a-2b, a+c) juga akan berupa bilangan real. Komponennya bisa berupa bilangan desimal atau pecahan.

Bagaimana jika saya hanya ingin mengecek salah satu sifat, penjumlahan atau perkalian skalar, apakah cukup?

Tidak cukup. Sebuah transformasi dinyatakan linear hanya jika memenuhi
-kedua* sifat tersebut secara bersamaan. Hanya memenuhi satu bukan jaminan memenuhi yang lain.

Apakah ada cara cepat tahu suatu transformasi tidak linear tanpa hitung panjang?

Ada indikator kuat. Jika rumus transformasi mengandung konstanta tambahan (misal: +5), perkalian komponen (seperti a*b), atau pangkat (seperti a²), maka hampir pasti tidak linear. Transformasi T(a,b,c)=(a-2b, a+c) bebas dari itu.

Apa hubungan antara linearitas dengan grafik transformasi ini?

Karena T memetakan dari R³ ke R², kita tidak bisa gambar grafik biasa di koordinat kartesius 2D. Namun, sifat linear menjamin bahwa “grid” atau garis sejajar di ruang asal (R³) akan dipetakan menjadi “grid” atau garis sejajar pula di ruang hasil (R²).

Apakah kernel (ruang nol) yang tidak hanya berisi vektor nol menandakan transformasi tidak linear?

Tidak. Kernel yang berisi lebih dari vektor nol justru wajar dalam transformasi linear, dan menandakan transformasi tersebut tidak injektif (banyak input bisa jadi output yang sama). Itu tidak melanggar sifat linearitas.

BACA JUGA  Cara Menemukan Rumus Isomer Seperti Isoheptana dan Isopropil

Leave a Comment